|
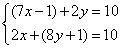
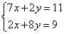
损益术是通过移项建立方程的方法。《九章》方程章说:“损之曰益,益之曰损。”用现今的话就是,在等式一端损,相当于在另一端益;在等式一端益,相当于在另一端损。有时是损益常数项,如方程章第2问:“今有上禾七秉,损实一斗,益之下禾二秉,而实一十斗;下禾八秉,益实一斗,与上禾二秉,而实一十斗。问上、下禾实一秉各几何?”方程最先是:
经过损益,变形为:
有时既损益常数项,也损益未知数。如第4问:“今有上禾五秉,损实一斗一升,当下禾七秉;上禾七秉,损实二斗五升,当下禾五秉。问上、下禾实一秉各几何?”方程最先是:
经过损益,变形为:
损益术还包括今之合并同类项。第11问是:“今有二马、一牛价过一万,如半马之价;一马、二牛价不满一万,如半牛之价。问牛、马价各几何?”方程最先是:
经过损益,得: 。
|